Oddymianie obiektów przemysłowych
Oddymianie - wyznaczanie wydajności instalacji oddymiającej
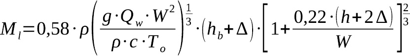
Całkowity strumień masowy dymu wpływający do warstwy podsufitowej można obliczyć ze wzoru [5]:

gdzie:
ρ ‒ gęstość dymu na wysokości h, kg/m3,
Qw ‒ konwekcyjna moc pożaru, kW,
W ‒ szerokość strumienia dymu wpływającego do słupa dymu, m,
c ‒ ciepło właściwe powietrza, kJ/kg∙K,
To ‒ temperatura otoczenia, K,
Δ ‒ wysokość wirtualnego źródła pożaru, m,
h ‒ wysokość strugi dymu, m.
Wydajność instalacji oddymiającej może być obliczona jako [5]:

gdzie:
V ‒ sumaryczny strumień dymu odprowadzany ze zbiornika dymu, m3/s,
Ml ‒ całkowity strumień masowy dymu wpływający do [...]